固定电话:

0517-86881563

手机热线:

153-1230-7860

当前位置:首页 >> 新闻动态
电磁流量计极间信号干扰的建模与分析
电磁流量计是一种测量导电液体体积流量的感应式仪表,以法拉第电磁感应定律为zui基本的理论依据。民有很多突出的优点,如:无可动部件,不会产生压力损失和堵塞管道;测量原理为线性、精度高、测量范围大;耐腐蚀性好并且可测量正反流速等。现在电磁流量计的发展已经比较成熟。大口径(≥1m)电磁流量计流量的标定和小口径(3~80m)电磁流量计的测量精度是该行业主要的研究方向。在实际测量中,干扰信号与有用的信号混在一起,它们不仅成分复杂,而且有时干扰信号还会比流量信号大。在这种情况下怎样抑制和排除这些干扰,提高信噪比就成了研制和使用电磁流量计的一个技术关键。
由于励磁磁场的突变会产生一些非常复杂的干扰,其中同相干扰与正交干扰为电磁流量计的主要干扰。去除正交干扰可以采用如下两种方法:一种是人为地造成一个与正交干扰幅值相同的信号,用此信号与于扰信号相互抵消;另一种是让引出线组成的闭合回路在磁场交链的磁通所形成的电流之代数和为零。**种方法会引人新的干扰,去除干扰效果不理想,第二种方法在小口径电磁流量计(DN3mm~DN80mm)范围内难于实现。笔者提出了一种有效消除干扰的方法:对流量计电极间信号建立数学模型,并对模型处理,可以将干扰信号与流量信号分离,为消除干扰提供了方便。下面主要讨论这种方法。
 
1、流量计极间信号的理论分析与建模
本文主要研究在正弦波励磁方式下电磁流量计各种干扰的解决方法。在实际应用中,流量计电极间信号都掺杂有大量的干扰信号:微分干扰、同相干扰、共模干扰和串模干扰等。以上信号都是由相对独立的信号源产生。将这些信号物理叠加起来列出公式如下:
式中,E为流量计电极间信号;Es为水流切割磁感线产生的电动势;E’为各项干扰电动势,包括微分干扰ew同相干扰et,、共模干扰ec、串模干扰ed和其他干扰eq;B为磁场强度;D为流管直径;v为水流速度。
共模干扰ec和串模干扰ed是电磁流量计附近的电磁干扰和静电干扰产生的,可以通过静电屏蔽和良好的接地加以抑止,其他干扰eq包括直流极化电压和些微小干扰。直流极化电压可通过提高励磁频率加以克服,所以做好这些干扰的抗干扰措施后,可以把式(1)简化为:
在正弦波励磁电磁流量计中,两电极的引线处于交变磁场中。流量计管内没有水流速度,电磁流量计的励磁线圈通入正弦波电流时,在引线的闭合回路内就产生出感应电动势,即微分干扰和同相干扰电势。
微分干扰电动势可以用磁场对时间的一次微分表示,同相干扰电动势可以用磁场对时间的二次微分来描述。微分干扰和同相干扰与磁场强度B的关系式如下:
在正弦波励磁方式下,假定励磁电流为I=Imsinωt,其中ω=2πf,流量计的励磁磁场强度B和励磁电流相位相同,所以得到公式为B= Bmsinωt。将此公式带入式(3)和式(4)可得
将式(5)和式(6)代入式(1),用已知量表示流量计电极间信号E得到式(7)如下
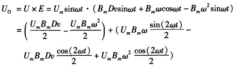
式(7)中,( BmDvsinωt)项为水流切割管内磁感线产生的电动势;磁场强度Bm、管内直径D和ω都是已知量;v为要求的水流速度;[2πf Bmcosωt-(2πf)²•Bm sinωt]项为干扰电动势。由于信号构成存在差异,所以去除干扰信号的方法有很多种。例如:干扰信号与流量信号存在90°的相位差,可以用相敏检波的方法去除干扰信号;干扰信号与流量信号频率不同时可以用带通滤波、带阻滤波、高通滤波和低通滤波的方法。从式(7)中可以看出:流量计的干扰信号与流量信号都是交流信号,频率相同但相位差不同。上面提到的方法不能完全去除此流量计的干扰,所以笔者采用如下方法,将流量计电极间信号E与励磁电压信号U相乘处理,得到电压U0如下式:
信号经过处理之后得到的信号U0是由两部分构成,直流分量[(UmBmDv)/2]-[(UmBmωt)/2]和交流分量UmBmωsin (2ωt)/2-UmBmDv*cos(2ωt)/2+UmBmω²*cos(2ωt)微分干扰电压形成后被转化成频率为2ω交流成分)。由上式可知直流分量与水流速度成线性关系,其中的-(UmBmω²)/2将决定系统的零点。交流分量的频率为励磁频率2倍。对电压信号U0进行滤波,滤除交流信号得到的直流信号输入到A/D进行采样,再输入给MCU经过编程处理,zui后由液晶显示出流量计的流量值。下面是用实际电路对本方法进行验证。
 
2、实际电路对理论验证
将上述的理论分析应用到实际电路中,主要用到的器件是乘法器,电路中选择的乘法器是TI公司的MPY100A,此芯片的优点:①差模输入抑制有害的共模信号(温度、电源电压等的变化引起的零点漂移和其
他干扰信号都可以视作共模信号);②输人补偿电压值Z2可以用来对系统调零。硬件电路图如图1所示。
MPY100A的输出公式为U’0=[X1-X2)(Y1-Y2)]/10+Z2,如图1所示,X2和Y2相连并接地这样使得E和U有相同的参考信号减小了外部干扰的引人,X1和Y1相乘减小了10倍,零点补偿电压(-UmBmω²)x(-1/10)=UmBmω²输人给Z2,这样zui后的U’0为
由式(8)可以看出信号经过信号处理之后得到U'0,交流部分[UmBmω*sin(2ωt)/2]-[UmBmDv*cos(2ωt)]+[UmBm ω ² cos(2ωt)/2]可经过低通滤波器滤除,直流部分UmBm Dv/2经过放大后直接输人MCU进行处理转换成流量信号显示出来。
下面是电磁流量计口径为5mm,水流速度约为2~18m/s,这里实际流量是通过容量法测量的。经过采样取32组数据做出曲线图如图2所示。
测量流量值α是用传统正弦波励磁电磁流量计测量得到的数据曲线,测量流量值b是用本文中信号处理方法设计的电磁流量计测量得到的数据曲线。根据数据分析可以知,用传统的正弦波励磁电磁流量计测
得的流量值的零点漂移很大,误差范围为±0.2%,而用本文信号处理方法设计的电磁流量计测得的数据曲线与实际流量信号的曲线相似度很高,此方法的测量误差范围为±0.15%。
 
3、结束语
对正弦波励磁基础上电磁流量计极间电动势信号做了理论分析,提出了把极间信号与励磁信号进行相乘变换的方式来提取流速信息、完成信号处理,有效地指导了新型电磁流量计硬件系统的研制。成功地研制出了基于乘法原理的新型电磁流量计信号处理系统,将理论在电路上得以实现,对正弦波励磁下的信号处理方式做了创新。不仅对理论上的分析做了实践的证明,说明了笔者分析的正确性,而且对进一步改进流量计性能提供了参考和依据。
根据在建模与分析中遇到的困难以及当前电磁流量计的现状,对今后的研究工作提出以下建议和改进
①笔者是采用硬件乘法器来实现两路信号的相乘,这必将受到乘法器精度、速度等性能的影响,而且硬件乘法器的价格很高,增加了设计成本。所以可以考虑两路信号都采用数字同步采样再经过软件相乘的方式来实现,这样既降低了成本,对性能也将有所改善。
②在正弦波励磁方式下,也可采用其他的信号处理方法。如对传感器产生的感应电动势信号进行数字信号处理,结合HHT和FFT等算法,从干扰信号频率入手,更加有针对性地消除干扰成分,提高了信号的信噪比。
 

上一条:电磁流量计输出波动原因分析和处理
下一条:一种大口径电磁流量计在线校准的方法


客户服务热线
15312307860

联系我们