电容式电磁流量计具有电极与被测流体不接触的特点,因而从根本上解决了电极表面附着、腐蚀、摩擦、液体渗漏等问题。而且对传统接触式电磁流量计难以测量的低电导率液体如酒精等也能进行测量,拓展了电磁流量计的适用范围,在造纸、石油、化工、冶炼等行业有着良好的应用前景。
由于电容式电磁流量计采用了电容耦合的方式来检测流量信号,耦合出来的感应信号微弱,并夹杂有一定的液体流动噪声,同时易受外界干扰,信噪比较低。目前感应信号的检出方式主要有两种:是直接检测感应信号电压;二是通过“虚地”技术,检测感应信号的电流。电流检测方式流量测量受耦合电容值变化的影响较大,一般较少采用。常用的电压检测方式由于传感器的耦合电容值一般为几十皮法,在几百赫兹的励磁频率下,信号源内阻很高为检出信号,转换器电路需要有很高的输人阻抗,般在1012Ω以上,如此高的输人阻抗电路很容易引入干扰,使信噪比进一步恶化。因而除了在传感器和电路设计中尽量屏蔽干扰外,后续的放大检出电路需要有很高的信噪比。本文在信号处理中引入了互相关检测方法,采用了适合电磁流量计信号特点的旋转电容滤波方式,以简单的硬件电路实现了流量信号的检出,研制的样机测试结果表明该方法是有效的。
1.互相关检测方法
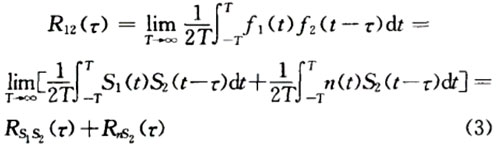
互相关检测是应用信号周期性和噪声随机性的特点,通过互相关运算,去除噪声的一种弱信号检测方法。如果发送信号的频率已知,就可在接收端发出相同频率的“干净的”本地参考信号,与混有噪声的输人信号进行相关,能显著提高电路的抗干扰性。设输入信号为:
f1(t)=S1(t)+n(t) (1)
参考信号为:
f2(t)=S2(t) (2)
则互相关函数

式中Rs1s2(τ)是S1(t)与S2(t)的互相关函数,当S1(t)与S2(t)是两个具有相同基波频率的周期函数时,合理选择延迟时间r可使积分值达到zui大;Rns2(τ)是n(t)与S2(t)的互相关函数,一般来说,参考信号S(t)与噪声n(t)之间没有相关性,并且S2(t)是一个交流信号,平均值为零,所以积分值处处为零。
因此,对于一个已知频率的信号,选择一个合适的参考信号与之进行相关运算,就可以将该微弱的信号检测出来,而将其他频率的干扰信号进行屏蔽。同时互相关检测的抗干扰能力受积分时间限制,积分时间越长,抗干扰能力越强,需要的测量时间也就越长。
对于高频励磁的电容式电磁流量计来说,被测流体的流量变化是缓慢的,因此有足够的时间来满足相关运算对时间的要求。并且电磁流量计的信号是由与励磁电流频率相同的交变磁场产生的,具有与励磁电流相同的频率,釆用矩形波励磁,参考信号可以从励磁控制信号中获得。一般来说,流体中的各种噪声及电路中引入的干扰与参考信号不相关,因此,可以采用互相关检测方法来检测强噪声背景中的流量信号。图1为电磁流量计信号互相关检测框图。
2.旋转电容滤波
2.1旋转电容滤波器
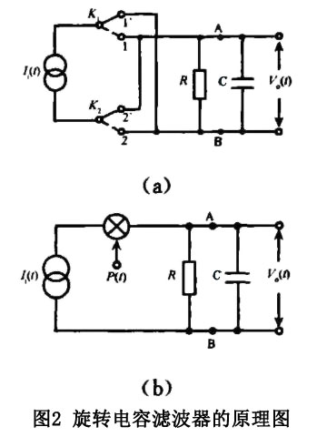
旋转电容滤波器基于相关检测原理,是一个抗干扰能力很强的电路,有很高的信噪比。其电路原理如图2(a)所示,电路由双刀双掷同步开关K1、K2和一个RC积分电路组成。K1、K2分别由频率为f。的互为反相的方波控制,使RC电路完成周期性地交替充电。其等效原理图如图2(b)所示,输入信号I()与振幅为士1,频率为f。的开关信号P(t)相乘,经过RC积分得到输出电压V。(t)。当被测信号与参考信号同频同相位时,总是从一个方向向电容进行充电。而噪声由于频率和相位不可能全与开关同步,因此噪声在电容上的充、放电将互相抵消,从而得到抑制。
从电路分析上看,旋转电容滤波器的频率传输特性如图3所示,对于与参考信号频率相同的输入信号,其输出zui大;对奇次谐波,输出响应同基波相比要小(2n+1)倍;而其他频率的信号,偏离基频或奇次谐频越大,其输出幅值衰减就越大。因此,旋转电容滤波器相当于方波匹配滤波器。时间常数RC越大,带宽越窄,抑制噪声的能力也就越强,就越接近理想方波匹配滤波器。只要使参考信号与待测信号相匹配,即基频是同频同相位的,则输出信号与匹配信号的振幅成正比,从而实现对待测信号振幅信息的提取。
2.2改进的滤波方式
在电容式电磁流量计中,感应信号在高频矩形波磁场励磁下产生,是具有相同频率的矩形波信号,幅值大小对应一定的流速。从励磁控制信号中获取的参考信号可以和流量信号相匹配。同时当激励磁场发生方向转变时,会产生较大的微分于扰,有时是流量信号的几百甚至几千倍,微分干扰也是影响零点稳定的主要因素之ー。

若直接采用该滤波器的滤波方式,会将较强的微分干扰引入,一方面直接影响信噪比,另ー方面也会带来严重的零点漂移问题。根据微分干扰信号在磁场方向转换瞬间达到zui大,随着磁场稳定迅速减小的特点,选择在每半个周期的zui后部分磁场zui稳定、微分干扰达到zui小时的信号进行相关滤波,如图4所示,图4(a)是含有微分干扰的信号波形示意图,图4(b)是与之进行互相关运算的开关参考信号。
为实现如图4(b)所示的参考信号,设计的旋转电容滤波基本电路如图5所示,S1a、S1b和S2a、S2b2是两组同步开关,RC积分电路中的电阻R移到同步开关外面。这样当S1a、S1b、S2a、S2b都断开时,输人信号不对电容充电,相当于信号乘以0后在电容上积分,此时电容只进行电位保持。在信号正半周,当S1a和S1b闭合时,信号对电容由上向下充电,相当于信号乘以+1后在电容上积分;在负半周,当S2a和S2b闭合时信号对电容充电方向仍由上向下,相当于信号乘以1后在电容上积分。滤波电路的积分时间仍由RC决定。经过一段时间积分,当测量时间t>=RC时,电容两端的电压将反映出流速的大小。在实际电路设计中,积分时间常数RC取值为0.15s,在保证一定的响应速度下,有较强的抗干扰能力。
3.样机设计
基于以上分析,结合有关文献,设计并试制了台原理样机,整体结构框图如图6所示,主要包括励磁电略、传感器、信号处理模块、单片机和CPLD等模块。CPLD在单片机控制下为各模块提供同步控制时序。励磁电路在 CPLD控制下产生200Hz的矩形波激励磁场,当流体切割磁场时,在传感器中产生感应电势。信号处理模块取出感应信号,进行互相关处理并放大后,将流量信号送入单片机。
设计的传感器结构如图7所示,包括测量管、励磁线圈、检测电极、屏蔽电极和屏蔽罩。检测电极紧贴于管壁外,被屏蔽电极罩住,并以等电位驱动技术减小杂散电容的影响。同时为了减小电极上的涡流影响,将检测电极做成了梳状。*外层屏蔽罩接地,有利于屏蔽外界干扰。考虑到检测电极上感应信号比较微弱,将前置放大器置于传感器内尽可能贴近电极的地方,以减小信号在传输中的衰减及干扰。为避免铁磁材料的磁滞现象,采用了空心线圈励磁。
信号处理模块主要电路如图8所示,高输人阻抗的前置放大器从高内阻的信号源中检出电压信号,完成阻抗转换。高共模抑制比的仪表放大器对信号进行差动放大,抑制共模干扰。然后经过旋转电容滤波器滤波,实现与参考信号的互相关处理,滤波电路相关运算所需的参考信号由CPLD产生,并与励磁电流保持严格同步。zui后由整流采样电路对旋转电容滤波器电容上的电压信号进行整流采样,经A/D转换后送入单片机。
励磁电路如图9所示,恒流源提供的电流通过两组同步开关的交替闭合,在线圈中形成矩形波励磁电流。为使电流方向在200Hz下快速完成转换,在线圈中串联了两个电阻,减小线圈励磁时间常数。设计的时间常数τ为0.25ms,保证了磁场快速稳定。
4.实验测试
利用试制完成的原理样机,在试验装置上以水为测量介质,使用某型号普通接触式电磁流量计作为参考表进行对比试验,该表精度等级为0.5级,测量范围为1.3~16m³/h,实验管径为40mm,对应流速范围为0.3~3.5m/s,实验装置如图10所示。图11是实验样机照片。
图12是在流速为1m/s下,实际电路中从示波器观察到的旋转电容滤波器输出端的信号。从未经旋转滤波的信号部分中,可以看出虽然前面采取了许多减小干扰的措施,但信号中仍然包含有较强的噪声,信噪比约为1:10,难以进行直接测量。而经滤波后的部分,得到了与流速相关的稳定电压信号,再对这部分信号进行整流采样,从而实现流量信号的可靠检出。
样机与标准表测得的实验数据如表1所示,大部分测量点的误差在士1.0%以内,个别流量较小的测量点误差超过1%。
5.结束语
电容式电磁流量计虽然在原理上早已经解决,但在实际设计制作过程中,由于信号微弱、易受干扰、信噪比低等特点,使其对传感器和转换器有很高的要求。本文研制的样机在传感器设计制作上采取了多种抑制干扰的措施,为满足转换器高信噪比的要求,将互相关检测方法应用到信号处理中,设计了一种改进的旋转电容滤波方式实现流量信号的互相关处理,在低信噪比环境下,较准确地实现了流量测量,并且零点较稳定。
上一条:
解决电磁流量计故障的几种排除方法
下一条:
在造纸厂流量测量中电磁流量计的应用