固定电话:
0517-86881563
手机热线:
153-1230-7860
首页
关于我们
产品博览
新闻动态
典型案例
行业新闻
联系我们
当前位置:
首页
>>
新闻动态
流量仪表系列
电磁流量计
涡街流量计
涡轮流量计
超声波流量计
孔板流量计
转子流量计
质量流量计
旋进旋涡流量计
巴类流量计
液体流量计
油流量计
酸流量计
气体流量计
其它流量计
物位仪表系列
压力变送器
差压变送器
液位变送器
温度变送器
变送器仪表系列
压力变送器
差压变送器
液位变送器
温度变送器
电磁流量计方波励磁控制原理
电磁流量计
方波励磁控制原理
1.方波励磁控制方案
电磁流量计方波励磁控制系统一般包括恒流源电路、励磁线圈驱动电路、励磁时序产生电路及检流电路这几个部分,其框图如图2.1所示。
系统由恒流源电路向励磁线圈驱动电路供电,励磁线圈驱动电路根据励磁时序产生电路发出的励磁时序控制信号CT1和CT2 通 过开关控制流过励磁线圈的励磁电流的方向,但不改变稳态幅值,进 而实现对励磁线圈的方波励磁。方波励磁中,励磁线圈驱动电路一般 采用互桥及其开关驱动电路。由于系统工况往往随环境等各种因素而发生随机性的变化,从而使系统中实际流过励磁线圈的电流也往往存在波动,而非所设定的恒流源的恒流输出,故而,励磁控制系统中通常加入检流电路 ,用于将流过励磁线圈的电流转换为电压信号输出,以提供给电磁流量计信号处理系统进行运算结果的电流修正。励磁时序产生电路一般由电磁流量计控制核心控制工作,从而产生具有一定频率的励磁时序高频励磁控制系统中, 要保证信号零点的稳定性,励磁恒流控制的快速响应是前担。另外,励磁时序频率的准确性及电流检测的准确性均直接影响信号处理结果的精度。故而 ,高频励磁控制系统的设计中,励磁恒流控制技术是关键,励磁时序的**控制及励磁电流的准确检测也至关重要。
2.励磁恒流控制原理
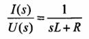
方波励磁控制系统中,恒流控制的输入量是对应于励磁稳态设定电流的电压设定值,控制量为励磁线圈两端的电压,控制对象为流过励磁线圈的励磁电流。励磁线圈可等效为电阻 R与理想线圈工的串联 ,其两端的电压U与流过的励磁电流工之间的传递函数如式所示。
为得到较好的恒流控制性能 ,根据控制理论 ,我们通过 MATLAB中Simulink搭建恒流PI控制系统如图所示。图中,Square Input 输出方波信号,excite coil为励磁线圈模型,Onut1l为不经恒流控制的励磁电流输出,Out2为经PI控制的励磁电流输出,Out3为PI控制时励磁线圈两端电压的控制量。其中,Square Input 输出方波信号幅值为8SV,峰-峰值为16V, 频率为200Hz,以模拟200Hz方波励磁;励磁线圈模型按重庆川仪自动化股份有限公司生产的电容式电磁流量 计 25Smm口径一次仪表 设置,其电阻值为26.8Q ,电感值为24.546mH。经参数调试 ,将比例系数K1 设为13.5、积分系数K2 设为5655时,能得到较好的励磁电流控制效果。励磁电流控制结果曲线如图所示。其中,图(a)为PI控制器的控制输出曲线,图(b)中虚线为未经恒流控制的励磁电流曲线,实线为经过 PI恒流控制的励磁电流曲线。由图(b)可见 ,励磁电流经PI恒流控制后,其响应时间大幅缩短至 0.Sms左右。
由图中(a)图可知,在电流方向切换时,为实现励磁电流的快速响应,PI控制器需输出很高电压来激励励磁线圈。但由于实际 PI控制电路 输出受其工作电源轨 限制(图中用限幅单元模拟),因而在电流距稳态差值较大时,PI控制器处于高压饱和输出状态。当电流接近稳态设定值时,PI控制器进入线性控制区并随着电流的上升而降低控制输出电压。电流进入稳态后,控制器输出则为平稳的低压控制量。当PI控制电路为轨 至轨输出时,其供电电源电压即为控制输出的饱和电压。供电电源电压越高 ,则电流响应速度越快,反之则越慢。在实际励磁过程中,一般要求励磁电流在励磁半周期内平稳态时间所占比重较大以保证信号有较好的零点稳定性,则由图中(a)图可知,PI控制器绝大多数时间的输出量均为平稳低压控制量。而实际中需由控制器提供的励磁电流又较大〈百毫安级),这就意味中在用高压源给PI控制器供电以保证电流快速响应时,控制器的能耗将非常大,不利于稳定工作。
当前应用中提出通过控制励磁供电电源电压的方式来解决这个问题,即恒流控制电路的供电电压亦随着励磁电流的变化而连续变化。但应用中基本上都采用单一PWM 调制电源(如DC/DC 转换器) 通过跟随励磁电流连续调节 PWM 点空比的方式来连续调节励磁供电电压,而此类调压方式存在很大的洁后特性,从而致使恒流控制滞后,以至出现很大超调,无法用于高频励磁。
为此,本根据上述分析分别提出基于线性电源的励磁恒流控制方式和基于高低压电源切换的双环恒流控制方式,并研制相应的
电磁流量计
励磁控制系统。
上一条:
国产浆液型电磁流量计厂家价格
下一条:
电磁流量计量程与口径的选择
客户服务热线
15312307860
联系我们