电磁流量计属于速度流量计的一种,电磁流量计所测得的体积流量实际上不受流体密度、黏度、温度和压力变化的明显影响,还可应用于腐蚀性流体的测量,因而**应用于工业生产。目前市面上大多数的电磁流量计仅能用于满管的流量测量,对于流体未充满管道或者流体在满管与非满管之间的转换过程中,由于管内的流体截面面积不再是测量管的横截面积,用传统的流量计得出的结果不准确,所以非满管流量测量需要测量管内流体平均流速和液位高度这两个参数。本文中基于电容式传感器的基本原理,利用流量计村里和管内流体作为介质,同时向两个圆弧形的电极片通人高频激励电压构成电容式传感器,测得液位高度和流体的平均流速,从而得出管道未充满时流体的流量值。
1.电磁流量计的基本工作原理
电磁流量计是根据法拉第电磁感应定律制成的一种测量导电性液体体积流量的仪表。当流体通过电磁流量计时将切割磁力线,在电极两端产生感应电动势。其感应电压信号通
过两个电极检出,并通过电缆传送至转换器,经过信号处理及相关运算后,将累计流量和瞬时流量显示在转换器的显示屏上。两个测量电极间的感应电势E与被测流体的平均流速V有
如下关系:
式中:E为感应电动势;K为仪表系数;B为磁感应强度;D为测量管的等效直径;为测量管内流体的平均流速。当体积流量为Q时,可表示为
上式说明,当直径D和磁感应强度B一定时,流量Q和感应电动势E呈线性关系,可以通过感应电势值得出流体流量。
2.非满管电磁流量计传感器
2.1非满管电磁流量计测量原理
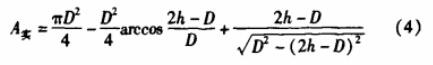
管道式电磁流量计在工作的过程中,可能会出现管道中流体未充满的情况,或者在流体流动过程中,流体处于满管向非满管的转换状态中,这时传统的管道式流量计中的流体会出现2种流动状态:一种是被测流体过了测量管的中心线,但是未充满管道的情况,此时如果仍按传统流量计的测量原理,则实际值=测量值-上部空气部分
由权重函数的理论可知,电极上感应的信号电压是电极断面内所有质点点位的集合,不论流体在管道中横截面如何变化,流体流动的质点都会有感应电势,但是这些电势一定要处于电极的集合范围内,如果电极暴露在空气中,电极不会得出感应的流量信号。当流体未充满管道时,管中流体的实际流量值Q实=A实*V·,而管中流体的截面积为:
式中h为液面高度。
而不再是A=πD2/4,由此可知,非满管的流量测量须同时测量液位高度和流体的平均流速两个变量。
2.2非满管电磁流量计传感器结构
基于以上原理,通过电容式传感器的基本原理,流体在流动的过程中,利用流量计衬里和管内流体作为介质,同时在流量计村里与管壁之间采用圆弧形电极片,电极片与村里和管中流体形成电容式传感器,结构如图1所示。
如图1所示结构,圆弧形电极片在高度方向上从10%D到90%D,这样能保证在此区域内,流体截面积变化时,电磁流量传感器能准确测得流体流量值。
2.3非满管电磁流量计工作原理
非满管电磁流量计采用双激励机制,即励磁激励和电压激励双激励机制,在励磁激励的作用下,通过励磁电路产生相应的磁感应强度,从而在电极上得出与流速对应的电势信号;在激励电极的作用下,向激励电极通人高频电压,使两圆弧形电极片与其之间的介质形成电容式传感器,通过电容量的测量,经过控制系统后得出与电容对应的液位高度信号。两个过程互不干涉,在通人高频电压的时候关闭励磁,励磁的时候不通高频电压。然后经过控制系统分析处理后得出非满管流体的相应流量值。整个系统框图如图2所示。
流体在管道内沿与磁感应线垂直的方向流动时,根据法拉第电磁感应定律,会产生感应电动势,此时,两电极片、村里和流体一起构成电容式传感器,如图3所示。
根据电容式传感器基本原理,此传感器的等效电路如图4所示。
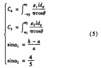
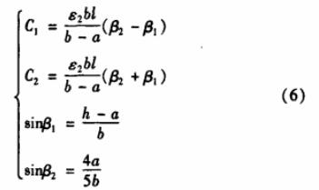
由电容式传感器基本原理可知,电极片、村里和流体一起构成了变介电常数型电容传感器,两极片间电容为上、下两部分电容并联而成,其中C1和C3、C2和C4,分别为串联,其总电容的计算如下
如图3所示,管中液体将测量管分为上、下两部分,其中空气的介电常数为Eo,流体的介电常数为E1,村里的介电常数为E2,根据电容式传感器模拟计算方法可知:
对于C1和C2,由于极板间间距没有改变,而且是单一介质,其值可近似作为平行板电容器计算:
式中:a为村里内半径,m;h为液位高度,m;b为电极内径,m;l为电极片轴向长度,m
3.非满管电磁流量计实验装量设计
利用两圆弧形电极片与管中的介质构成电容式传感器的基本原理,测量非满管导电流体流量。实验装置如图5所示。

实验介质是具有一定电导率的液体,为保证液体流动,采用水泵持续供水。实验装置采用常用的PVC管作为测量管,同时用聚四氯乙烯作为电磁流量计村里介质,励磁线圈采用低频矩形波磁,同时在实验样机中接人信号处理和控制、显示设备等装置。管到尾部接调节阀以控制流体流动。为保证进入样机中的流体流动平稳,前部分管道长度保证为样机管道直径的5倍。为保证管中流体流动平稳和非满管液位的要求,更好的测量效果,水箱1采用分层设计,利用插入板的不同高度来控制液位的高度,从而得到不同的液位高度测量。水箱2中装有实际流量测量装置,用来和理论值、测量值进行对比。
4.结東语
非满管电磁流量计的流量测量问题是国内外工业研究的热点,文中提出一种新的非满管电磁流量计测量方法,通过理论和实验分析认为该方法能较为准确地测量非满管导电流体流量值,同时也提供了一种新的圆弧形结构的液位测量方法。但由于该方法采用圆弧形片电极与介质耦合形成电容值,电极片的安装工艺要求较高,同时介质材料的选择须得当。
上一条:
智能型外置式超声波液位计产品特点工作原理
下一条:
靶式流量计的应用特点及工作原理